• <li id="www08"><tt id="www08"></tt></li><li id="www08"><table id="www08"></table></li>
  • <li id="www08"></li><li id="www08"></li>
    <li id="www08"><tt id="www08"></tt></li><li id="www08"><tt id="www08"></tt></li>
    <li id="www08"></li>
    <li id="www08"></li>
  • <tt id="www08"></tt>
  • 您現在的位置:首頁 / 信息資訊 / 行業標準
    恒功率電伴熱帶安徽省地方標準 DB34/T 1497-2011
    來源:安徽省質量技術監督局  瀏覽次數:18628  日期:2013年4月18日

    恒功率電伴熱帶安徽省地方標準 DB34/T 1497-2011
    標準號:DB34/T 1497-2011
    2011年10月25 發布
    2011年11月25 實施
    安徽省質量技術監督局 發布

    本標準按照GBIT 1. 1-2009給出的規則起草。
    本標準主要起草人:巫志、夏海龍、蘇敏。

     

    恒功率電熱帶(CvnStant Watt Heating Cable)

     

    1、范圍
        術標準規定了恒功率電伴熱帶的術語和定義、規格型號、要求、試驗方法、檢驗規則、包裝、運輸和貯運。
        本標準適用于額定電壓380V及以下的恒功率電熱帶。
    2、規范性引用文件
        下列文件對于本文件的應用是必不可少的。凡是注日期的引用文件,僅所注日期的版本適用于本文件。凡是不注日期的引用文件,其最新版本(包括所有的修改單)適用于本文件。
        GB/T 1234 高電阻電熱合金
        GB/T 2406.1 塑料 用氧指數法則定燃燒行為 第一部分:導則
        GB/T 2406.2 塑料 用氧指數法則定燃燒行為 第二部分:室溫試驗
        GB/T 2900.10 電工術語 電纜
        GB/T 2951.11 電纜和光纜絕緣和護套材料通用試驗方法 第11部分:通用試驗方法 厚度和  外形尺寸測量 機械性能試驗
        GB/T 2951.12 電纜和光纜絕緣和護套材料通用試驗方法 第12部分:通用試驗方法 熱老化試驗方法
        GB/T 2951.14 電纜和光纜絕緣和護套材料通用試驗方法 第14部分:通用試驗方法——低溫試驗
        GB/T 2951.21 電纜和光纜絕緣和護套材料通用試驗方法 第21部分:彈性體混合料專用試驗方法——耐臭試驗——熱延伸試驗——浸礦物油試驗
        GB/T 2951.31 電纜和光纜絕緣和護套材料通用試驗方法 第31部分:聚氯乙烯混合料專用試驗方法——高溫壓力試驗——抗開裂試驗
        GB/T 3048.5 電線電纜電性能試驗方法 第5部分:絕緣電阻試驗
        GB/T 3048.8 電線電纜電性能試驗方法第8部分:交流電壓試驗
        GB/T 3048.9 電線電纜電性能試驗方法第9部分:絕緣線芯火花試驗
        GB 3836.1  爆炸性環境 第1部分:設備 通用要求
        GB/T 3956 電纜的導體
        GB/T 34910 鍍錫圓銅線
        JB/T 8137.1 電線電纜交貨盤 第1部分:一般規定
    3、術語和定義
        下列術語和定義適用于本文件。
    3.1 恒功率電熱帶
        電源母線為多根平行絕緣銅線,在絕緣層中間纏繞電熱線,并將該電熱絲每隔一定距離(即”發熱節長“)與母線連接,形成連續并聯電阻。母線通電后,各并聯電阻發熱,因而形成了一條連續的加熱帶。
    3.2標稱功率
        恒功率電熱帶在10℃環境溫度下測出的每米發熱功率。
    3.3最高表面溫度
        絕熱條件下測得的,通電狀態下恒功率電熱帶表面能夠達到且不在升高的溫度
    3.4最高承受溫度
        恒功率電熱帶功能和結構受到損壞并且不能在恢復的外界溫度。
    3.5最高維持溫度
        在一定保溫條件下,恒功率電熱帶通電時,能夠使電伴熱系統保持(或保持一段時間)的最高溫度。
    3.6有關實驗的術語和定義
    3.6.1例行實驗
        由制造方在成品電熱帶的所有制造長度上進行的試驗,以檢驗所有電熱帶是否符合規定要求。
    3.6.2抽樣試驗
        由制造方按規定的頻度,在成品電熱帶試樣上或在取自成品電熱帶的某些部件上進行的試驗,以檢驗電熱帶是否符合規定要求。
    3.6.3型式試驗
        按一般商業原則對木規范所包含的一種類型電熱帶在供貨前所進行的實驗。以證明電熱帶具有能滿足預期使用條件的良好性能。
        注:該實驗的特點是:除非電熱帶材料,設計或制造工藝的改變電熱帶的特性,試驗做過以后就不需要重做。
    4、規格與型號
    4.1產品命名
    應按照圖1要求

     

    恒功率電伴熱帶結構說明

     

    圖1:產品命名表示方法
        示例1:絕緣材料為205℃氟塑料,額定電壓220V,2芯,每米功率30W的加強型單相恒功率電熱帶。表示為:CWH2-J-30-205℃
        示例2:絕緣材料為205℃氟塑料,額定電壓380V,3芯,每米功率40W的普通型三相恒功率電熱帶。表示為:CWH3-40-205℃
    4.2型號
    應符合表1要求

     

    恒功率電伴熱帶技術參數表

     

    4.3規格
    應符合表2要求

     

     

    5、要求
    5.1導體
        導體應符合GB/T4910標準要求,其結構應符合表2的規定。
    5.2絕緣線芯
    5.2.1絕緣材料
        應為聚全氟乙丙烯(FEP)、可熔性聚四氟乙烯(PFA)或其它類似的氟塑料,性能符合表3的規定。
    表3絕緣護套物理機械性能

     

     

    5.2.2絕緣厚度
        應符合表2的規定,平均值不小于標稱值,最薄點厚度應不小于標稱厚度的90%-0.1mm。
    5.3骨架絕緣層
    5.3.1材料
        應為聚全氟乙丙烯(FEP)、可熔性聚四氟乙烯(PFA)或其它類似的氟塑料,性能符合表3的規定。
    5.3.2厚度
       應符合表2規定,平均值不小于標稱厚度的90%-0.1mm。
    5.4發熱層
    5.4.1結構
        應由繞包發熱電纜電阻絲和聚四氟薄膜組成。
    5.4.2性能
        發熱合金絲合金直徑為0.10~0.15mm,性能應符合GB/T 1234標準規定。電阻絲應具有可錫焊性。
    5.5內護層
    5.5.1材料
        應為聚全氟乙丙烯(FEP)、可熔性聚四氟乙烯(PFA)或其它類似的氟塑料,性能符合表3的規定。
    5.5.2厚度
        應符合表2的規定,平均值不小于標稱值,最薄點厚度應不小于標稱厚度的90%-0.1mm。
    5.6屏蔽層
        應采用鍍錫銅絲或其它合金金屬線編制組成,編織密度不小于80%以上,編織線直徑為Φ0.12mm~0.15mm,性能應符合GB/T4910標準要求。
    5.7外護套
    5.7.1材料
        應為聚全氟乙丙烯(FEP)、可熔性聚四氟乙烯(PFA)或其它類似的氟塑料,性能符合表3的規定。
    5.7.2厚度
        應符合表2的規定,平均值不小于標準值,最薄點厚度應不小于標稱厚度的90%-0.1mm。
    5.8成品電熱帶
    5.8.1工頻火花試驗
        按GB/T 3048.9執行,工頻5KV火花試驗不擊穿。
    5.8.2米功率誤差
        電熱帶在10±2℃〔或由環境溫度系數折算到l10℃)下的平均米功率的誤差應不超過標稱值的10%。
    5.8.3工頻電壓試驗
        單相電熱帶和三相電熱帶的絕緣層應能分別承受2000V和2500V工頻電壓,歷時5min不發生擊穿或閃絡現象。
    5.8.4絕緣電阻
        每百米電熱帶20℃時絕緣電阻應≥50MΩ。
    5.8.5成品通電試驗
        電壓從0V升壓至成品額定電壓,測量電流、電壓。計算米功率誤差在允許范圍內。通電時間不少于0.5h,屏蔽網接地。
    5.8.6氧指數
        電熱帶所用材料氧指數應≥70。
    5.8.7最高表面溫度
         額定電壓下,電熱帶最高表面溫度為150℃。
    5.8.8成品電熱帶的防爆性能
        應符合GB 3836的有關規定。
    6、試驗方法
    6.1試樣的制備
        單相電熱帶1. 5米(含一個完整的發熱節):三相電熱帶4.5米(含一組完整的發熱節)。
    6.2絕緣線芯和骨架絕緣層、內護層、外護套尺寸的測量
        按GB/T 2951.11規定的方法進行,應符合5.2-5.7的要求。
    6.3機械性能
        按GB/T 2951.11規定的方法進行,應符合5.2~5.7的要求。
    6.4工頻火花
        按GB/T 3048.9規定的方法進行,應符合5.8.1的要求。
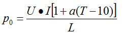
    6.5米功率誤差
        用鋼直尺測出發熱節長度Lcn,輸以額定電壓U(v),通電時間h后讀出I(A)則米功率P0:
        ——P0按公式(1)計算:

     


    備注:(w/m 10℃時)...............................................(1)
    式中:
    P0 ——米 功率(w/m);
    U——為電源電壓(V);
    L——為發熱節電流(A);
    a——為電阻線電阻溫度系數(1/℃);
    T——為環境溫度℃;
    L——為發熱節長度(m);
    P——為10℃下的標稱功率(w/m);
    ————功率誤差按δ公式(2)計算

     


    備注:(w/m 10℃時).............................................(2)
    式中:
    δ——為功率誤差(w/m);
    p0——米功率(w/m);
    P——為10℃時的標稱功率(w/m)。

    6.6工頻電壓
        按GB/T3048.8規定的方法進行,應符合5.8.3的要求。
    6.7絕緣電阻
       按GB/T3048.5規定的方法進行,應符合5.8.4的要求。
    6.8成品通電
        成品電熱帶在通電之前,按6.7的測量方法做好絕緣電阻測量,將電熱帶導電線芯接入電源電壓,從0V升壓至成品額定工作電壓,并測量電流、功率,米功率誤差應在規定允許范圍內。
        通電時間不小于0.5h,屏蔽網接地。
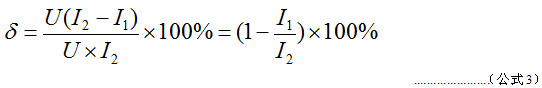
    6.9溫度功率特性
        測量儀器:調溫箱、穩壓源、數宇電流表、直尺。
        調溫箱設定在10℃,對電熱帶輸以額定電壓,溫度0.5h,測量穩定電流I1,然后將調溫箱設定在110℃,穩定0.5h,測量溫度電流I2,則百米功率改變率按公式(3)計算:

     

     

     

    式中:
        δ——為功率誤差(w/m);
        U——為電源電壓(V);
        I1——10℃穩定電流(mA);
        I2——110℃時穩定電流(mA);
    6.10氧指數
        按GB/T 2046.1、GB/T2046.2 規定的方法進行,應符合5.8.6的要求。
    6.11最高表面溫度
        按GB 3836.1規定的方法進行,應符合5.8.7的要求。
    7、檢驗規則
    7.1出廠檢驗
    7.1.1電熱帶應由制造廠檢驗部門檢驗含格后方能出廠。
    7.1.2電熱帶的出廠檢驗至少包括6.2、6.5、6.6、6.7、6.8等項日,如有一項不合格,則為不合格產品。
    7.2型式試驗
    7.2.1電熱帶在下列情況之一時,應進行型式檢驗:
        a)新試制的電熱帶樣品;
        b)當電熱帶配方、工藝或所用材料有較大改變時;
        c)連續生產中的產品,每兩年不少于一次;
        d)做產品防爆檢驗的樣品;
        e)國家質量監督部門提出進行型式試驗的要求。
    7.2.2型式檢驗的內容
        應符合表4的規定。
    表4:形式檢驗內容

     


    7.2.3型式試驗的抽樣數與判定規則
        每次隨機抽三段樣品,經檢驗如發現有一段不符合標準的技術要求時,應從該批產品中另抽出兩倍數量重復檢驗,如仍有不符合要求時,則該批次產品為不合格。
    7.3驗收
        訂貨方有權檢查產品的主要技術指標是否符合本標準規定值的要求。
    8、包裝、運輸及貯存
    8.1包裝
        恒功率電熱帶應妥善包裝在符合GB/T 81378.1規定要求的電纜盤上交貨。電熱帶端頭應可靠密封,伸出盤外的電熱帶端頭應加保護罩。電熱帶可以成圈包裝。為防止貯運中損壞,盤裝產品還應附加適當的保護。成圈包裝應用一點強度的帶狀材料多層包覆,并捆扎牢固。每個電熱帶端頭采用熱縮帽進行良好的密封。
    8.1.1每個電纜盤上都將表明一下內容:
        a)制造廠家;
        b)電熱帶型號、規格、電壓等級、防爆等級;
        c)電熱帶長度、凈重、總重;
        d)標準編號;
        e)出廠日期;
        f)表示電纜盤滾動方向的箭頭;
    8.1.2裝箱時,箱體外殼上應表明:
        a)制造廠家;
        b)電熱帶型號、規格、電壓等級、防爆等級;
        c)電熱帶長度、凈重、總重;
        d)制造年月;
        e)防潮、防擲標志。
    8.1.3 質量檢驗合格證
        每盤電熱帶均應附有制造廠的產品質量檢驗合格證。
    8.2運輸
        電熱帶運輸應不得使電纜盤處于平放位置;不得作長距離滾動;不得遭受沖撞、擠壓和任何機械損傷;長途運輸時應防止長時間暴曬。
    8.3貯存
        電熱帶在裝卸時應使用適當的工具,以避免損傷電熱帶。在運輸工具上應進行良好的固定。電熱帶應盡量避免露天存放,電纜盤不允許平方。

    附錄A(規范性附錄)
    耐酸堿試驗方法
    A.1耐酸堿試驗方法
        應按GB/T 2951.21規定的防腐做試驗。
    A.1.1使用如下條件
    A.1.1.1處理條件
        ——酸堿類型  N—鹽酸標準溶液(1mol/L)
        ——堿液類型  N—氫氧化鈉標準溶液(1mol/L)
        ——溫度     (23±2)℃
        ——時間      168h

    A.1.1.2 試驗要求
        ——抗張強度變化率 最大±30%
        ——斷裂伸長率     最小100%
        注:需要做兩項獨立的試驗,一項使用酸堿,一項使用堿液。

     

    相關信息:恒功率電伴熱帶 電伴熱帶(伴熱電纜)安裝與操作手冊 HWL(HBL)并聯恒功率電熱帶 對管道電伴熱保溫系統進行預防性目測維護 根據使用場所選擇伴熱帶類型

    所屬類別:行業標準
    該資訊的關鍵詞為:電熱帶,恒功率電伴熱帶標準,恒功率電熱帶地方標準,DB34/T,1497-2011

    國家電伴熱生產基地,國際伴熱帶制造專家;傾力打造國內最大規模電伴熱產業集群

    備案皖公網安備 34118102000521號
  • <li id="www08"><tt id="www08"></tt></li><li id="www08"><table id="www08"></table></li>
  • <li id="www08"></li><li id="www08"></li>
    <li id="www08"><tt id="www08"></tt></li><li id="www08"><tt id="www08"></tt></li>
    <li id="www08"></li>
    <li id="www08"></li>
  • <tt id="www08"></tt>
  • 亚洲精品第一 天等县| 登封市| 聊城市| 长葛市| 克山县| 泽库县| 伊金霍洛旗| 工布江达县| 十堰市| 尼木县| 黑水县| 长春市| 台山市| 佛山市| 裕民县| 荥阳市| 五家渠市| 临桂县| 赤城县| 江达县| 晴隆县| 漳州市| 天峻县| 潍坊市| 南充市| 兰溪市| 荔波县| 达拉特旗| 姚安县| 永清县| 澎湖县| 安阳市| 老河口市| 侯马市| 十堰市| 潮州市| 小金县| 河南省| 绍兴县| 两当县| 乌鲁木齐县| http://444 http://444 http://444